新闻动态

首页» 新闻动态

振幅对三维针刺Cf/SiC复合材料超声辅助微孔钻削的影响

发布日期:2021-09-09

研究背景

三维针刺Cf/SiC复合材料是一种低密度、比强度高、比刚度高、耐高温、耐磨性好的先进材料,由于其优异的物理力学性能,已被广泛应用于航天器的热防护系统、热结构、火箭发动机,喷气发动机的叶片、喷管和襟翼和高速列车以及飞机的刹车片或刹车盘。而在工业应用中为了使Cf/SiC零件满足装配和使用需求,钻孔加工是必不可少的。

然而,Cf/SiC复合材料由碳纤维和碳化硅基体组成,碳化硅的硬度仅次于金刚石,碳纤维增强相的各向异性以及材料本身的非均匀性进一步提高了Cf/SiC复合材料的加工难度。因此Cf/SiC复合材料在传统钻削加工过程中孔壁表面质量较差,且过大的轴向力还会加剧出孔处的材料分层损伤,而超声振动辅助钻削由于其优异的加工性能被广泛应用于复合材料的钻削加工过程中,与传统钻削加工相比,超声辅助钻削Cf/SiC显著降低了平均钻削力和扭矩,防止了孔出口处的分层,还改善了孔边缘的表面质量,因此超声振动辅助钻孔被认为更适合于Cf/SiC的钻削加工。

内容简介

Cf/SiC复合材料在传统钻削过程中较差的孔壁质量以及出孔边缘的材料损伤,严重限制了Cf/SiC复合材料的应用。相比之下超声辅助钻削更适合加工Cf/SiC复合材料。为了揭示振幅对Cf/SiC复合材料超声辅助钻削加工质量的影响,对Cf/SiC复合材料进行了一系列超声辅助钻削试验。观察分析了不同振幅下孔内壁不同纤维方向处的微观形貌,揭示了振幅对钻削轴向力以及出孔边缘形貌的影响。结果表明,不同的纤维切削角会严重影响纤维的断裂机理以及纤维的断裂形式进而影响孔壁表面的微观形貌,施加超声振动后,使不同角度的纤维断裂形式趋向于剪切断裂进而使孔壁质量得到改善,且随着振幅增加纤维更易被去除,减小了纤维去除过程中的弯曲变形程度,孔壁质量也得到进一步的提高,但过大的振幅反而使孔壁基体出现破损,同时,随着振幅对材料去除方式的改变也使钻削的轴向力随之降低,且超声振动带来的冲击效应也缓解了出孔边缘的材料损伤情况。

该研究工作主要受到国家自然科学基金项目((U19A20103))资助。

图文导读

图1 仿真模型示意图

图2 孔壁形成机理示意图

图3 常规钻削出孔材料去除示意图

图4 超声振动辅助钻削出孔材料去除示意图

图5 出孔微观形貌((a)常规加工,(b)超声辅助加工)

图6 不同振幅下孔壁微观形貌((a)A=0μm, (b)A=3μm,(c)A=6μm, (d)A=9μm)

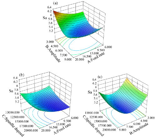
图7 不同加工参数对孔壁表面粗糙度的影响((a)振幅以及进给量对Sa的影响;(b)主轴转速以及进给量对Sa的影响;(c)振幅以及主轴转速对Sa的影响)

图8 不同加工方式下的钻削轴向力(主轴转速 20000 r/min; 进给量 6 mm/min; CD: A = 0μm; UAD: A = 6μm)

图9 C/SiC复合材料钻削过程示意图

图10 不同振幅下不同阶段的轴向力曲线 ((a)轴向力平均值;(b) 不同阶段轴向力下降程度)

图11 不同振幅下出孔应力情况的仿真结果((a)A=0μm, (b)A=3μm, (c)A=6μm, (d)A=9μm)

(撰稿:王曼妃  投稿:王茂荀  审核:翟昌太)